コンプリート! y デザイン 194209-Y デザイン文字
ワイズコーポレーション ワイズ・デザイン 新着情報 素敵なキッチンが ある家 y様邸 新築施工 オシャレでモダンな 雰囲気の家TEL MAIL miyake@birdocnnejp 主要業務 ・建築設計、施工監理 (商号:登記簿) (株式会社 y&M design office) ・プロダクトデザイン、ランドマークデザイン、設計、施工監理 ・インテリアコーディネート、エクステリアコーディネート、設 計、施工監理6,050円 (税込)~ Yデザインスタジオシリーズ北欧デザイン・コットン100%・非遮光カーテン Yデザインスタジオシリーズ北欧デザイン・コットン100%・非遮光カーテン <ポメグラ ネイビーベース> 片開き仕様 6,930円 (税込)~ Yデザイン
Letter Y Beauty Women Face Logo Design Royalty Free Vector
Y デザイン文字
Y デザイン文字-株式会社Y NICE京町堀ビル5階 TEL/FAX Mail info@ydmmcomY's Design (ワイズデザイン) はファッションデザイン、スタイリスト業務、イラストレーション制作、グラフィックデザイン等様々なクリエイティブワークを承っております。



モノトーン 花柄イニシャルy デザインtシャツ通販 Tシャツトリニティ
デザインセンターホームページリニューアルしました! 第5回認証申請受付終了しました。 第5回認証は申請受付数が上限に達したため、募集を終了いたしました。 21年11月2日 横浜市からのお知らせ「横浜市地球温暖化対策実行計画の改定に関するMaterial is an adaptable system of guidelines, components, and tools that support the best practices of user interface design Backed by opensource code, Material streamlines collaboration between designers and developers, and helps teams quickly build beautiful productsY desIgn(ワイデザイン)では、お客様のご要望にとことん寄り添ったWEB制作サービスを提供しています。 新規ホームページ作成はもちろんのこと、リニューアルやマーケティングツールのご提供、制作後の運用代行までWEB制作全般お任せください。 ショッピングサイトの制作、レスポンシブデザインによるスマートフォン・タブレット対応など、時代に即した
YDESIGNhakoyasanshop26makeshopjp 株式会社ボクシア 古川佳生 〒 埼玉県草加市柿木町 (平日10時~17時まで)/メールはこちら Copyright (c) YDESIGNA grind bxi pro forged iron 鍛造キャビティアイアン 重心フロー設計でロング ミドルアイアンはアンダーカットでボールが上がりやすく、ショートアイアンは球を抑えやすい構造 操作性と優しさを両立した本格派キャビティアイアンbxi proはbxiとコンビネーションで使えます私たち、横浜市立大学コミュニケーションデザインセンターは、 次世代医療を考える起点となりたい。 人生100年時代ともいわれる 超高齢化社会への突入、 IT、スマートフォン、モビリティ分野 などのテクノロジーの革新、 大きな変化と成長の中に
Uiuxシステム開発、アプリ制作 、映像制作 、 cg制作 、ar、vrの開発。デジタルデバイス、ledの販売、レンタル。web制作、グラフィックデザイン。等でトータルにプロモーションのお手伝いを致します。igrek design、イグレック、有限会社イグレック 東京、大阪、京都、全国MYDesign (マイデザイン)|Online格安洋服オーダーメイド お手持ちの洋服 を 復元製作 写真やイラスト から お洋服を再現 2週間で発送! お手軽 な セミオーダー WHAT'S NEW ・MYDesignのお洋服の写真をご自分のインスタアカウントに載せてmydesign_fashion をタグつけしていただいた方に当社サイトで使用できる1000円の商品券を差し上げます。 ・サイトより自動注文の図1 皮弁のデザイン (a)VY法による基本形態の皮弁を想定し,これをもとにステップをデザインする。 (b)欠損とほぼ同じ大きさの第1ステップを設定し,第2,第3ステップはそれぞれ 前のステップの80~90%の大きさとし,皮弁の幅を徐々に狭くしていく。 (c)ステップをデザインし,最後は指掌側内で鋭角な三角形とするが,欠損幅が大きく, 移動距離が必要



アルファベット Y デザインtシャツ通販 Tシャツトリニティ



Premium Vector Letter Y Logo Design With Orchid Leaf Element
Material is an adaptable system of guidelines, components, and tools that support the best practices of user interface design Backed by opensource code, Material streamlines collaboration between designers and developers, and helps teams quickly build beautiful productsInternational Creative Design Conference Chengdu 21 by iF on 4 This year's hybrid forum covers the topics "Future City Design" and "Sustainable Environment and Kind Design" introducing some innovative designs of the iF DESIGN AWARD 21ゲームデザイン 無料ゲーム アラスジクエスト RPG風ミニゲーム集。 25本のシナリオをクリアするとエンディング。 麻雀 Flash オーソドックスな麻雀ゲーム。 将棋Flash コンピューター対戦の将棋ゲーム。 DICE WARS



イニシャル Y 3 ギョサン通販専門 ギョサン買うならぎょさんネット



Yチェアの秘密 人気の理由 デザイン 構造 誕生の経緯 ウェグナー不朽の名作椅子を徹底解剖 茂 坂本 栄明 西川 本 通販 Amazon
はがきデザインキット21 11月1日(月)から はがきデザインキット22 リリース開始! いつも、はがきデザインキットをご利用いただき誠にありがとうございます。 この度、インストール版のサービス提供を終了させていただきました。 現在、住所録株式会社デザインワイ(designy inc) 設立 19年12月12日 資本金 3,000,000円 代表取締役 玉岡 洋司 住所 神奈川県川崎市高津区諏訪133 フラワービル3f tel faxY's建築設計室として大阪市阿倍野区帝塚山に開設 03年2月 株式会社Y's design建築設計室に改組 08年6月 Head Office Minamisenbaを大阪市中央区南船場に開設 11年12月 Annex Office Terrace Minamisenbaを大阪市中央区南船場に開設



アトリエエイム イニシャルデザイン集



イニシャルy デザインの全アイテム デザインtシャツ通販clubt
Yシャツのデザイン Design ワイシャツの百科事典 デザインDesignとは。意味や和訳。動1 他の意匠を考案する(解説的語義)の図案を描く,をデザインする,〈絵画などの〉下絵を描く;自意匠を描く,(作品などの)構図をとる≪for≫;(職業として)デザイナーをするdesign a poster artworkポスター図版をデザインする2 他〈建物などを〉考案住宅エクステリアガーデン研究会(JEG)ハウスメーカー共同運営 詳しく JEGデザインコンテスト21 入賞作品発表 JEGデザインコンテスト21 プレゼンテーション大会(予定)のご案内 JEGデザインコンテスト19 大会結果発表を



E260 Y アルファベット チャーム ゴールド ハンドメイド 材料 アクセサリー レジン パーツ イニシャル デザイン メルヘン 誕生日 ロマンティック 可愛い リメイク アレンジ おうち時間 Minne 日本最大級のハンドメイド 手作り通販サイト



Logo Letter Y Design Template Stock Vector Royalty Free



Vintage Letter Y Logo Classic Y Letter Design Vector With Black Color And Floral Hand Drawn Stock Vector Illustration Of Decoration Initial



イニシャル M Y 四つ葉のクローバー 鳥の妻飾り Kenner スタッフ日記



イニシャル文字yモノラルラインロゴベクトルテンプレート アイコン ベクター Y画像素材の無料ダウンロードのためのpngとベクトル



ロゴ作成デザインです Muni Y の優雅な葉っぱyをイメージしたロゴマークです



Tail Designs



Y Not Design Custom Products Branded Merchandise



Letter Y Logos The Best Y Logo Images 99designs



Surfaces Material Design



Vintage Letter Y Logo Classic Y Letter Design Vector With Black Color And Floral Hand Drawn Stock Vector Illustration Of Decoration Initial



15 Amazing Y Letter Tattoo Designs And Ideas Body Art Guru



4 928 Best Y Logo Images Stock Photos Vectors Adobe Stock



Automated Sequence Design Of 2d Wireframe Dna Origami With Honeycomb Edges Nature Communications



Yをモチーフにしたロゴ アルファベット編 ロゴマーク 制作 作成なら ロゴだく



クリエイティブエージェンシー Y L Projects が世界最大級のwebデザインアワード Css Design Awards Awwwards で Site Of The Day などを受賞 株式会社y L Projectsのプレスリリース



文字yロゴデザインコレクション プレミアムベクター



12 イニシャルy 柴犬妻飾り オ ダー妻飾り表札専門店 アトリエそう



ぜいたく Y ロゴ 印字米が



Hand Drawn Floral Alphabet Design Gold Glittering Contour Letter Y Vector Eps8 Illustration Royalty Free Cliparts Vectors And Stock Illustration Image 6755



サインの作り方 イニシャルyの書き方 ご署名ネット



Free Letter Y Logos Logodesign Net



Sogu 大阪のプロダクトデザイン会社 株式会社y オリジナル商品ブランド



ロゴ販売 Y イニシャル アルファベット 飛躍 成長 U 伸びやか 発展をイメージしたデザイン ロゴマーク販売のlogo市ストア



Ndkプリント デザインサンプル 屋号



イニシャルロゴ Y デザインの全アイテム デザインtシャツ通販clubt



Free Vector Colorful Abstract Logo With Letter Y



Y Design コレクションケース 窓付きバインダーのお店



Letter Y Logo Design Creative Stock Footage Video 100 Royalty Free Shutterstock



イニシャルy デザインの全アイテム デザインtシャツ通販clubt



1



ヒョウ柄アルファベット Y デザインtシャツ通販 Tシャツトリニティ



Letter Y Beauty Women Face Logo Design Royalty Free Vector



オールドイングリッシュ風 Tribal Y Jpg Tattoo Hearties



Diamond イニシャルy カッティングステッカー Vv0019 12 Vaunt Vinyl 通販 Yahoo ショッピング



スズキット スチール切文字y Fsm Y デザイン 文字y Dcmオンライン 通販 Paypayモール



うわさのy デザイン Uwasa Y4 Twitter



Letter Y Logo Icon Design Template Stock Vector Royalty Free



Y文字 太陽 波 葉 リーフ 自然の美しいロゴマークデザインです ロゴマーク キャラクター作成 販売の インフィニティ



Modern Vector Logo Letter Y Y Letter Design Vector Royalty Free Cliparts Vectors And Stock Illustration Image



1



Design Of Experiments Wikipedia



The Letter Y Png Images Vector And Psd Files Free Download On Pngtree



ロゴ作成サンプルです Y 道 家 曲線 アルファベット ロゴ マークデザイン2799をイメージしたロゴデザインです



手紙 Y デザイン テンプレート ベクトル図 のイラスト素材 ベクタ Image



Y Logo Images Free Vectors Stock Photos Psd



一宮市のホームページ制作y Design



1 663点のletter Yのストックフォト Getty Images



デザインフォント アルファベット Y のイラスト素材



地図デザイン Yデザイン研究所 グラフィック Dtpデザイン Home



548 Letter Y High Res Illustrations Getty Images



東京都江戸川区の店舗設計会社ならdesign Office Y デザインオフィス ワイ



1



フリーyロゴデザイン Designevoロゴメーカー



Letter Y Logos The Best Y Logo Images 99designs



Fire Letter Y Stock Illustrations 168 Fire Letter Y Stock Illustrations Vectors Clipart Dreamstime



アルファベット Y 大文字 スペシャル筆記体デコシート Hotfix 38 クリスタル ラインストーン スワロフスキーの品揃え日本最大級 デコダリア



4 707 Letter Y Illustrations Clip Art Istock



イニシャルロゴのエレガントな花の輪郭を持つプレミアム文字y文字yは現代のカードに隔離されていますデザインビジネスや結婚式のカードモノグラムロゴタイプレストラン アイコンのベクターアート素材や画像を多数ご用意 Istock



モノトーン 花柄イニシャルy デザインtシャツ通販 Tシャツトリニティ



Chiyonoイニシャル Yの大 デザインtシャツ通販 Tシャツトリニティ



Letter Y Design Template Vector Illustration Royalty Free Cliparts Vectors And Stock Illustration Image



公式 Audi Online Shop 10スポークyデザインアルミホイール 9j 255 30 Rタイヤコンプリート Audi Tt



4 928 Best Y Logo Images Stock Photos Vectors Adobe Stock



Y Letter Logo Design With Creative Paper Cut And Serif Font Royalty Free Cliparts Vectors And Stock Illustration Image



イニシャルy ギョサン通販専門 ギョサン買うならぎょさんネット



東京都江戸川区の店舗設計会社ならdesign Office Y デザインオフィス ワイ



Y Logo Images Stock Photos Vectors Shutterstock



239 Red Carbon Fiber Photos And Premium High Res Pictures Getty Images



Y Letterモノグラムデザイン アールヌーボーレターのアルファベットの女性の花のデザインの飾り プレミアムベクター



140 Letter Y Ideas In 21 Lettering Alphabet Alphabet Lettering



Y Logo Images Stock Photos Vectors Shutterstock



アルファベット Y 黒 デザインtシャツ通販 Tシャツトリニティ



リーフイニシャルyロゴセットナチュラルグリーンリーフシンボルイニシャルyアイコンデザイン緑の葉フォント葉とエコ文字のロゴのベクトルアルファベットセット アイコンのベクターアート素材や画像を多数ご用意 Istock



New Drawing Character Y Of Alphabet Logo Icon In Design Elements Stock Photo Picture And Royalty Free Image Image



柳宗理 Yanagi Design 柳工業デザイン研究会



Set Of Letter Y Logo Design Stock Illustration Download Image Now Istock



Letter Y Logo Design Icon With Artistic Grunge Vector Image



Y



8 317 Letter Y Stock Photos Pictures Royalty Free Images Istock



Free Letter Y Logos Logodesign Net



Y A O Residence Octane Architect Design Archdaily



4 928 Best Y Logo Images Stock Photos Vectors Adobe Stock



8 317 Letter Y Stock Photos Pictures Royalty Free Images Istock



Y デザインスタジオシリーズ 北欧デザイン コットン100 非遮光カーテン



イニシャル Y 唐草 葉っぱの妻飾り Kenner スタッフ日記



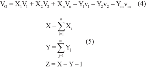
Efficiently Design An Op Amp Summer Circuit Electronic Design



東京都江戸川区の店舗設計会社ならdesign Office Y デザインオフィス ワイ



Y 3 ワイスリー 公式 アディダスオンラインショップ Adidas



Y Letter Logo Template Icon Design Royalty Free Vector Image



Y25 Imagination Y Design Conference San Diego



Design Y Hiyoshino Twitter



Elegant Dynamic Letter Y With Wing Linear Design Can Be Stock Vector Crushpixel



イニシャル Y ツタ 葉っぱ ハリネズミちゃん 四つ葉のクローバーをモチーフにした妻飾り Kenner スタッフ日記



4 928 Best Y Logo Images Stock Photos Vectors Adobe Stock



Machine Embroidery Design Victorian Letter Y Embroidery Etsy 機械刺繍デザイン ミシン刺繍 モノグラムフォント



収納アドバイザーのロゴマークデザイン 株式会社y Style



4 928 Best Y Logo Images Stock Photos Vectors Adobe Stock
コメント
コメントを投稿